研报&论文

如何刻画基金经理的择时能力

由crisvalentine创建,最终由crisvalentine 被浏览 64 用户

报告摘要

基金经理是否具有择时能力的讨论

现存的研究指出基金经理是不具备市场择时能力的,例如,Treynor和Mazuy(1966)开发出一个择时模型用来刻画基金经理的择时能力,然而,在其57只基金的样本池中,只有一只基金具备择时能力。Henriksson(1984)利用Henriksson和Merton(1981)提出的择时模型发现,在116只基金的样本池中,只有3只基金具有显著的市场择时能力。

本文通过构建和剥离基金收益相对于合成基金收益的部分来衡量基金经理的择时能力,同时发现使用日度收益率进行刻画效果远显著于使用月度收益率进行度量。

基金经理择时能力统计结果

本文首先基于标准回归检验,证实了当使用日度收益率时,可以得到显著的择时效应。

本文之后对样本池中基金估计了择时系数,同时发现使用日度收益率进行计算增加了样本中具有显著择时能力的基金数量。为验证结论是否为伪结论,本文构建了一个不具有择时能力的合成基金来匹配基金的风格。当使用月度数据进行择时能力测试时,有11.9%的基金展示出了显著的择时能力。而当使用日度数据进行测试时,有34.2%的基金展示出了显著的择时能力。本文接着构建了第二个择时模型,得出了类似的结论。这些结论都证明本文检验出的基金经理的择时能力都不是统计现象下的伪结论。

实证研究分析

当使用TM模型时,使用日度数据进行检验,40.8%的基金产生了显著为正的系数,而28.1%的基金产生了显著为负的回归系数。而相应的将频率换做月频收益率的话,则分别为33.5%以及5.3%。

文献来源

文献来源: Bollen, Nicolas PB, and Jeffrey A. Busse. "On the timing ability of mutual fund managers." The Journal of Finance 56.3 (2001): 1075-1094.

文献亮点:对于基金经理是否具有择时能力以及如何刻画基金经理择时能力的探讨是本文的一大亮点,本文通过构建和剥离基金收益相对于合成基金收益的部分来衡量基金经理的择时能力,同时发现使用日度收益率进行刻画效果远显著于使用月度收益率进行度量。在本文构建的维度上,通过计算择时系数发现很大一部分基金经理(34.2%)展示出了非常显著的择时能力。

引言

在已经发表的学术研究中,对于基金经理的择时能力的分析局限于月度收益率的测试,进而没有什么关于基金经理择时能力的发现。本文研究发现,使用日度数据对基金收益率进行测试效果更为显著,同时,相比于使用月度数据进行检验,基金经理更能体现出择时能力。本文构建了一组合成基金收益,其目的是为了控制伪结论的产生。相比于基金的合成收益部分,很大一部分基金经理的日度择时系数非常显著。这便证实了基金经理是具有择时能力的,与前人研究的结论不同。

本文试图刻画和检验基金经理对于市场的择时能力,也就是基金经理是否可以在市场上涨之前提前增加基金仓位,提高基金持仓对于市场的暴露,同时,在市场下跌之前提前降低基金仓位,减少基金持仓对于市场的暴露。

现存的研究指出基金经理是不具备市场择时能力的,例如,Treynor和Mazuy(1966)开发出一个择时模型用来刻画基金经理的择时能力,然而,在其57只基金的样本池中,只有一只基金具备择时能力。Henriksson(1984)利用Henriksson和Merton(1981)提出的择时模型发现,在116只基金的样本池中,只有3只基金具有显著的市场择时能力。

上述这些文献中观察和测试基金的收益率,使用的是月度或者年度收益率来进行计算。而正如Goetzmann,Ingersoll和Ivkovic(2000)指出,以月度频率来进行测试可能难以捕捉到基金经理的择时能力对于基金收益的贡献,因为基金经理对于市场暴露度的决策可能快于月度而进行。也就是说基金经理的择时操作往往比月度频率更高。

本文将使用日度数据来计算基金收益率,这将能够克服Goetzmann et al.所提出的困境。为检验数据的频率是否真的对结论产生影响,本文将同时检验使用日度数据以及月度数据的结论,原假设为基金经理不具备择时能力,而备择假设为基金经理具备择时能力。经检验,无论是日频还是月频数据,均展示出拒绝原假设的结论,同时,使用日度数据得到的结果更加显著于使用月度数据进行测试的结果。

Jagannathan和Korajczyk(1986)指出如果基金收益率或多或少的相对市场指数呈现出期权特征的时候,标准的择时能力测试方法伪拒绝了基金经理没有择时能力的原假设。为了控制产生伪结论的可能,本文构建了一个合成的基金组合来模拟没有择时能力的基金持仓。

本文第一节将探讨本文所使用的用于检验基金经理择时能力的模型是如何构建的。

第二节将对所使用的数据进行描述。

第三节检验样本容量以及择时模型的显著性。

第四节展示实证研究结果。

最后,第五节将对本文的主要结论进行总结。

择时能力的测试

择时模型构建

基金经理对于市场的择时是指基金经理动态的把握和分配基金持仓中权益以及债券仓位的过程。成功的市场择时就是在市场即将上涨前增加基金持仓中权益仓位的暴露,而在市场开始下跌之前减少基金持仓中权益仓位的暴露。本节将探讨如何测试基金经理的择时能力。

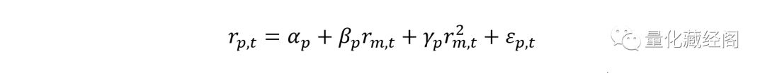
Treynor和Mazuy(1966)使用如下回归方程对基金经理的市场择时能力进行度量:

{w:100}其中,r_(p,t)是基金的收益率,r_(m,t)是市场收益率,γ_p系数则衡量基金经理的择时能力。如果一个基金的基金经理提高(降低)基金组合对于市场的暴露先于市场的上涨(下跌),那么上述方程为一个凸函数,因此,γ_p系数应该为正值,反之为负值。

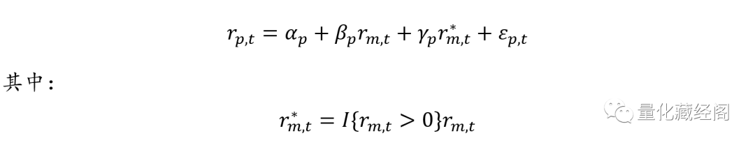
Henriksson和Merton(1981)提出了另外一个用来度量基金经理择时能力的模型。在他们的模型中,假设基金经理基于对于市场未来收益率的预测,来动态把握和分配资金在权益仓位以及现金之间的权重。

具体该模型的回归方程如下:

{w:100}这里,I{r_(m,t)>0}是一个0-1映射。当r_(m,t)为正时,上式为1,反之,当r_(m,t)为非正数时,上式为0。公式中γ_p的量级衡量了基金经理的择时能力,如果择时能力强则为正,反之为负。本文将使用上述两个方程来度量本文样本池中基金的择时能力。

Grinblatt和Titman(1994)指出,对于基金业绩的测试对于所选基准极其的敏感。因此,本文使用四因子加入到上述两个回归方程中,这里的四个因子是Fama和French(1993)的三个因子,其中包括市场收益率、市值以及账面市值比以及Carhart(1997)的动量。

本文将四因子加入TM回归方程中如下:

{w:100}以及将四因子与HM回归方程进行结合如下:

{w:100}本文将使用日度数据以及月度数据对上述两个模型的系数进行估计和分析,来判断数据的观测频率是否会对基金经理的择时能力的判断产生影响。

数据与变量

数据来源

本文研究230只基金的日度数据。基金样本的确定参考Busse(1999)提出的基金池确定方法。

自1985年1月2日至1995年12月29日期间的日度股票数据以及股息数据取自Interactive Data Corp.,其数据源为National Association of Security Dealers.

本文还使用Moody’s Dividend Record: Annual Cumulative Issue(Moody’s Investors Service, Inc.(1985-1995))以及Standard & Poor’s Annual Dividend Record(Standard and Poor’s Corporation(1985-1995))来确定股票的除权除息日。

结合上述行情以及股息数据,对于每一只基金持仓的日度收益率可以按如下公式进行计算:

{w:100}其中,NAV_(p,t)表示的是基金p在t日的资产净值,而D_(p,t)则表示为基金p在t日的派息。

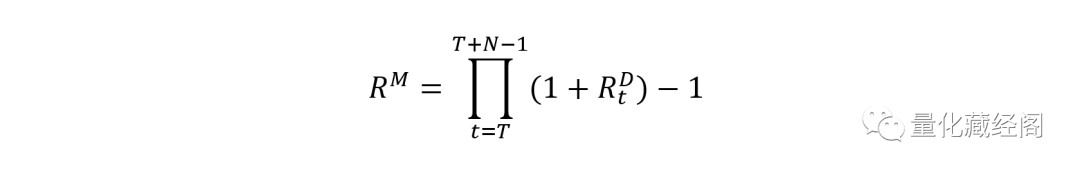
为判断是否使用日度数据可以得出与使用月度数据不同的结论与推断,月度收益率使用日度收益率通过如下公式进行计算。假设一个月有N个交易日,且T日代表该月第一天。基于日度收益率R_t^D来计算的月度收益率R^M,可以表示为如下公式:

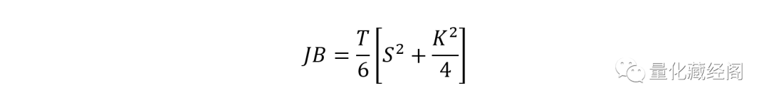
{w:100}在表1中面板A给出的是对于基金收益率的描述性统计特征。本文使用Jarque-Bera(1980)提出的统计方法,检验了基金收益率的分布是服从一个正态分布的假设。其中,原假设为基金收益率服从一个χ_2^2分布。

使用日度数据进行测试时,只有一只基金在1%的置信水平下没有拒绝服从正态分布的假设。统计值的平均值为342958。对于月度数据,统计值的平均值为217,其中只有4只基金的收益率没有拒绝服从正态分布的假设。这个结果一点也不奇怪。因为股票的收益率不是服从正态分布的,因此很多学术界的学者基于此进行了很多的研究和探索,也催生了随机过程这一学科的发展。

描述性统计

图1展示的是本文基金样本池中230只基金以及市场指数的描述性统计。样本区间为1985年1月2日至1995年12月29日,共2780个交易日,以及132个交易月。均值μ以及标准差σ均使用的是样本估计。

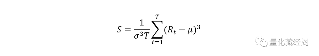
其中,偏度(S)计算公式如下:

{w:100}峰度(K)的计算公式如下:

{w:100}Jarque-Bera(JB)对于正态分布的统计检验公式为:

{w:100}表1中面板A还列示除了本文使用的市场代理变量,CRSP市值加权指数,其中包括NYSE,AMEX以及Nasdaq股票。市场指数无论是日频还是月频均拒绝了服从正态分布的假设。

{w:100}此外,市场指数相比于基金收益率来说,表现出了更高的峰度以及更厚的负向尾部。更厚的负向尾部可能是由于样本中1987年的股灾或者其他小的熊市造成的。再者,基金收益率以及市场指数的这些统计特征也可以用来解释一部分基金经理的市场择时能力,本文将在第四节进行讨论。

表1中面板B展示的是每年本文样本中基金的数量,以及相对应这些基金的平均收益率以及收益率的标准差。值得注意的是,样本所包含的样本区间,既有收益较高的年份,也有收益较低的年份。同时,也包括标准差比较大的年份,这表明本文研究所采用的样本足够丰富,因此对基金经理的择时能力的捕捉也将更为全面。

对于前文所介绍的对伪结论控制的方法,本文对于每一只基金构建一个合成基金来匹配该基金的风格,但是此合成基金是没有择时能力的。本文构建合成基金的方法参照Busse(1999)。

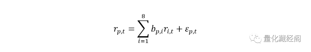
具体做法为:对于样本中的每一只基金,本文将基金的暴露划分为8个资产单元:其中包括6个交叉项,即2个等权的市值单元以及3个等权的账面市值比单元,等权的动量指数以及等权的逆向指数。

具体将基金p在t日的收益率可以划分为:

{w:100}其中,r_(i,t)为一个资产单元i在t日的收益率,其系数b为使得ε_p最小化且非负的回归系数。通过确定这些系数,便构建了一个合成的基金收益率。每年进行一次调仓。这相当于构建了一个买入并持有的策略。这个构建过程的主要思想与Daniel et al.(1997)相类似,其构建了一个基于风格的基准,来检验基金经理的管理能力。不同的是,Daniel et al.使用的是基金的季度持仓信息,而本文使用的是二次规划来决定不同资产单元的暴露。

本文构建了月度以及日度两个版本的市值以及账面市值比与Fama和French(1993)提出的月度因子相类似。其中月度以及日度的动量因子与Carhart(1997)所提出的月度因子相类似。

本文使用90日国债收益率(TBILL90)作为无风险收益率。

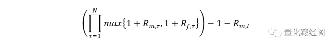
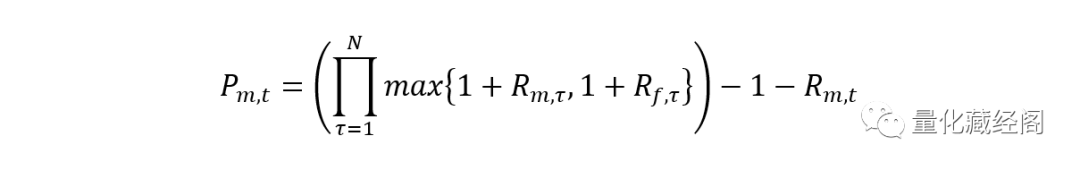
进而,本文构建了Goetzmann et al.(2000)提出的月度因子来计算月度市场择时收益率,具体计算公式如下:

{w:100}其中,设t月有N天,R_(m,τ)为τ日市场收益率,且R_(f,τ)为无风险收益率。

下面的公式用来计算基金月度收益率以及日度择时情况,其中具体的月度回归方程为:

{w:100}其中,上式中4因子为TM和HM模型中的因子。当上述方程使用的因子为Fama和French3因子时,上述检验即为Goetzmann et al.(2000)提出的“调整后FF3”检验。

择时能力检验的统计结果

样本容量以及显著性检验

面板A中描述了Treynor和Mazuy(1996;TM)四因子,Henriksson和Merton(1981;HM)以及Goetzmann et al.(2000;GII)择时模型在回归之后的择时系数。

{w:100}

接续上表。

{w:100}图3的面板B以及面板C展示的是周度择时频率的显著性测试结果。其中,面板B展示了TM模型的结果,结果显示,大部分情况下择时系数都是显著的,且日度收益计算出来的择时系数显著高于月度收益计算出来的择时系数。举例而言,当回归的择时系数γ=5时,日度检验结果显示,有92%个样本TM模型呈现显著正向系数,而HM模型有85%个样本显著。当使用月度收益率进行检验时,只有34%个基金使用TM模型检验结果为显著,只有26%个样本使用HM模型进行检验结果为显著。

图4展示的是图形化的在不同频率下进行检验的显著性分析结果。当使用月度数据构建TM模型时,检验结果无法反应每日或者每两日的市场择时结果。但是,当择时频率降低时,模型的显著性则得到了提升。对于其余模型得到的结论均类似。

{w:100}如图4所示,该图展示了在1000只基金的样本池中,使用Treynor和Mazuy(1996;TM),Henriksson和Merton(1981;HM)以及Goetzmann et al.(2000;GII)择时模型进行检验分析的结果。

所有的择时模型均为如下方程所示:

{w:100}其中,r为超额收益,在TM模型中,f(r_(m,t))=r_(m,t)^2,在HM模型中f(r_(m,t))=I{r_(m,t)>0}r_(m,t),在GII模型中计算如下:

{w:100}总结而言,就是当使用日度数据进行测试时,模型通常可以正确的拒绝基金经理没有择时能力的原假设,且比使用月度数据进行测试时,准确度要高。

下面,本文将研究分析基金经理的主动择时能力。

\

实证研究

估计标准误(Bootstrap方法)

评价基金择时能力回归模型系数的显著性是一项复杂的过程。举例而言,如果一个基金经理根据TM模型进行择时判断,但是检验其择时能力的时候使用的是HM模型,这时,就有可能产生时间序列上的相关性。而且,有证据表明基金经理动态使用择时模型。

例如,Brown,Harlow和Starks(1996)指出基金经理会根据当前的基金表现改变投资策略。同时,Busse(1999)提出基金经理会在市场波动较低时进行对市场的暴露。

为了克服出现统计上的伪结论的问题,本文构建了bootstrap方法检验模型中择时系数标准误的方法。具体计算过程参照Freedman和Peters(1984)。

一共有三个步骤,首先,本文使用1985年至1995样本池中基金,分别使用日度数据以及月度数据构建TM和HM择时模型,并估计各个参数。第二步,本文构建bootstrap基金收益率。具体而言,每一天随机选出一个基金的残差将其加入到回归模型中,重复这个过程1000次,可以得到1000个bootstrap收益率。第三步就是对于每一个bootstrap数据进行模型系数的估计。对于每一个基金,则有1000个回归系数,计算这1000个回归系数的标准差即为bootstrap标准误。

统计的T值计算方法如下公式:

{w:100}本文使用5%的置信水平进行T统计量估计。

实证结果

图5列示了具有正择时系数以及负择时系数的基金比例,以及具有显著为正的择时系数和显著为负的择时系数的基金数量。同时,分别展示了使用日度数据以及月度数据的检验结果。

面板A展示了样本池中基金的统计结果。在所有的情况下,使用日频数据检验出具有显著择时能力的基金样本比例都高于使用月频数据检验的比例。例如,当使用TM模型时,使用日度数据进行检验,40.8%的基金产生了显著为正的系数,而28.1%的基金产生了显著为负的回归系数。而相应的将频率换做月频收益率的话,则分别为33.5%以及5.3%。

{w:100}图5中列示了230个样本基金在不同情况下的比例,平均择时系数以及平均回归截距项。列示(+/-)为系数为正或者为负。列示(++/--)为系数显著为正或者系数显著为负。

样本区间为1985年1月2日至1995年12月29日,一共2780个交易日或者132个交易月。截距项转换为了年化百分比。

择时能力使用使用Treynor和Mazuy(1996;TM),Henriksson和Merton(1981;HM)以及Goetzmann et al.(2000;GII)择时模型。择时模型的具体公式如下所示:

{w:100}其中,r为超额收益,在TM模型中,f(r_(m,t))=r_(m,t)^2,在HM模型中f(r_(m,t))=I{r_(m,t)>0}r_(m,t)。

面板B展示了控制合成基金收益率之后的结果。合成基金收益率是由不具有择时能力的假设下构建的,具体为对于每一只基金在特定的资产单元中选择股票来匹配该基金的风格。面板C展示的是基金择时系数与控制了合成基金收益率之后基金的择时系数的区别。

\

结论

本文阐述了使用日度收益率对基金经理的择时能力进行判断的结论与使用月度收益率进行判断的结论有所不同。

本文首先基于标准回归检验,证实了当使用日度收益率时,可以得到显著的择时效应。

本文之后对样本池中基金估计了择时系数,同时发现使用日度收益率进行计算增加了样本中具有显著择时能力的基金数量。为验证结论是否为伪结论,本文构建了一个不具有择时能力的合成基金来匹配基金的风格。当使用月度数据进行择时能力测试时,有11.9%的基金展示出了显著的择时能力。而当使用日度数据进行测试时,有34.2%的基金展示出了显著的择时能力。本文接着构建了第二个择时模型,得出了类似的结论。这些结论都证明本文检验出的 基金经理的择时能力都不是统计现象下的伪结论。

观测值的频率对于判断基金表现非常重要,建议在今后对于基金表现的研究中更多的使用日度数据,而非频率更低的数据,这样方能产生出更精确以及更锐利的研究结论。

标签

量化择时
评论
  • H-M和T-M模型运行出结果不同时,T-M显示基金择时能力显著,H-M显示择时能力不显著, 那怎么判断基金择时是否为显著?
{link}