研报&论文

市盈率、商业周期与股票市场择时

由crisvalentine创建,最终由crisvalentine 被浏览 34 用户

摘要

文献来源:Park, Sangkyun. The P-E Ratio, the Business Cycle, and Timing the Stock Market. The Journal of Portfolio Management, forthcoming November 2021.

推荐原因:本文利用1871-2020年的月度股市数据,分析了市盈率与未来股票市场表现之间的关系,以及错误定价是否为股市择时提供了机会。研究发现,市盈率与已实现的股权溢价成反比;而与公允市盈率这一基本面指标成正比。这些发现表明,市盈率可能同时反映了被误导的市场情绪和理性的投资者预期。周期性调整后的市盈率似乎更好地反映了错误定价,而传统的市盈率则更好地反映了市场基本面。市盈率所显示的错误定价似乎并不具有显著性和系统性,不足以产生明确的市场择时机会。然而,根据商业周期来进行择时似乎是有利可图的。通常情况下,在经济衰退前不久或期间,股价暴跌,并在接下来的两年内迅速反弹,创造了可观的择时机会。

** {w:100}**

简介

股票市场一直是高度波动的。由于暴涨和暴跌反复出现,股票价格的快速上涨使许多投资者感到担忧。高市盈率或经济衰退的高概率通常会加深这一担忧。投资者担心公司盈利的增长速度不足以证明价格上涨的合理性,而且由于经济衰退,盈利甚至可能下降。本文分析了这些担心在多大程度上是合理的,并讨论了错误定价是否为股市择时提供了机会。

虽然股票价格是向前看的(未来的现金流),但市盈率是往回看的(目前盈利)。因此,在概念层面上,人们无法判断某个市盈率是否处于正确的位置。市盈率作为一种估值指标是否具有实用性是一个经验问题。利用覆盖149年的月度股市数据,本文研究了市盈率和股市未来表现之间的关系。作为未来表现的衡量指标,我使用包含未来收益、股息支付和无风险收益率的已实现股权溢价(REP)。我还构建了一个符合股市基本面的公允市盈率,并与实际市盈率进行比较,以衡量实际市盈率被股市基本面所解释的程度。尽管股票价格在某一程度上反映了无限的现金流,但衰退对企业现金流的影响是短暂的。因此,典型的经济衰退对股票价格的影响应该是温和的。在这篇文章中,我也研究了股票市场是否对衰退反应过度。

主要发现有以下几点。市盈率与长期(10年)REP和短期(2年)REP呈反比关系。市场基本面在合理程度上解释了市盈率。尽管周期性调整市盈率(CAPE)与REP显示出较强的反向关系,但传统市盈率(PERC)与市场基本面显示出较强的正向关系。尽管市盈率和REP之间有相当强的反向关系,但根据市盈率来择时的潜在利润很小。考虑到滞后的附加风险,基于市盈率的择时似乎并不是长期投资者的良好投资策略。然而,基于商业周期进行择时,可以说是非常有利可图的。在许多情况下,股票价格在经济衰退开始前不久快速下跌,并在经济衰退(复苏)结束前不久出现强劲反弹。

这些发现表明,市盈率可能同时反映市场基本面和系统性错误定价。市盈率和REP之间的反比关系可能导致系统性错误定价,但没有充足的证据表明这一观点。一种可能性是,对低概率结果的理性预期连续几次没有实现。然而,要将对经济衰退的反复过度反应与市场效率相协调就更难了。在短期和中期运行中的一些系统性错误定价似乎是不可否认的。

\

市盈率

市盈率衡量一家公司目前的股票价格相对于该公司最近的业绩的合理程度。股价应该等于股票未来现金流的现值,这包括股息支付和投资期限结束时的出售价格。因为销售价格反映了从那时起的未来红利,所以在任何特定时间点的股票价格应该是未来无限红利流的现值。但准确预测未来无限的红利流和贴现率是不可能的。

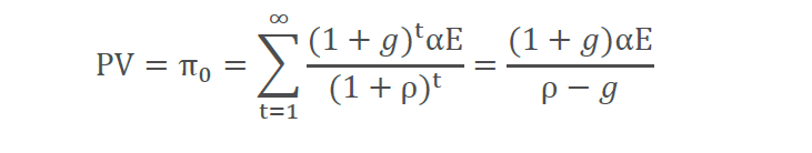
一个可管理的方法是根据这些变量的历史行为来推断它们的未来行为。假设决定现值的关键变量在未来保持不变,未来红利的现值可以表示为:

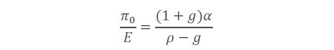
{w:100}其中π_0是第0期的股票价格;g是盈利的增长率;α是作为股息支付的比例(股息支付率);E是本期盈利;ρ是投资者要求的股票收益率,即由无风险收益率和要求的股权溢价(DEP)组成的贴现率。从上式中,市盈率为:

{w:100}决定市盈率的关键变量是盈利增长率、股息支付率、无风险收益率和DEP。如果这些决定现值的关键变量均恢复到历史平均水平,那么市盈率是衡量股票估值的一个好办法。

关键变量可能会因为一些原因而偏离其历史平均水平。长时间的经济停滞或技术突破会大大改变收入增长率。制度因素可能会影响股息支付率,如公司治理和税法。可能影响无风险收益率的因素包括经济增长、经济稳定和人口构成。DEP取决于股票相对于其他投资机会的吸引力。因此,在概念层面上,人们可以很容易地证明高市盈率是由于一个关键变量偏离其历史平均水平而造成的。

让我们考虑一个使用历史平均数的数字化例子。从1871年1月到2020年1月,平均市盈率15.78,盈利增长率3.97%(几何平均数),股息支付率0.61,三个月国债利率2.96%(几何平均数)。几何平均数是指使初始投资的价值达到投资期限结束时的价值的恒定年率,它可能与算术平均数有很大差异。我使用三个月的国债利率作为无风险利率的代表。从前面公式可以看出,当市盈率、盈利增长率和股利支付率处于历史平均水平时,折现率为7.99%,此时DEP 则为5.03%。

{w:100}市盈率对公式中的三个变量中的任何一个的变化都非常敏感。图1显示了在其他两个变量保持历史平均水平的情况下,市盈率是如何随每个变量变化的。当盈利增长率比历史平均水平高一个百分点(从3.97%增加到4.97%),折现率和股息支付率处于历史平均水平(分别为7.99%和0.61)时,市盈率为21.2。市盈率可以处于一个起伏变化很大的水平。例如,盈利增长率增加三个百分点或折现率减少三个百分点,市盈率就会提升到60以上。

尽管盈利增长率永久性地跃升三个百分点的可能性很小,但可以想象贴现率会下降三个百分点。7.99%的贴现率是由2.96%的无风险利率和5.03%的股票溢价组成。因为股票是有风险的,所以DEP应该大于零;但是,它不一定要超过5%。一只股票的吸引力取决于它的风险和流动性。随着企业部门的稳定性和透明度的提高,股票的风险可能比以前小。股票的流动性也更强,因为交易成本更低(例如,电子交易降低了交易成本)。根据Hasbrouck和Schwartz (1988),他们显示了执行股票交易的成本作为交易成本的一个组成部分的重要性,小数报价(将价格四舍五入到最接近的分数,如八分之一)提高了执行成本。小数报价已经取代了分数报价,降低了执行成本。随着风险的降低和流动性的提高,2%的DEP可能是合理的。Mehra和Prescott(1985)认为,直到1980年代,股票溢价一直高得令人费解。较低的无风险利率也使贴现率下降。美联储十多年来一直将短期利率保持在超低水平,并可能将低利率政策再持续十年。通常情况下,低利率不一定意味着有利的股票市场条件;它们通常与经济和企业收益的缓慢增长有关,这可以抵消低贴现率的正面影响。然而,自大衰退以来,美联储一直在压制利率,即使是在经济稳健增长的时期。当较低的无风险利率与快速的盈利增长相结合时,即使无风险利率暂时下降10年,也能大幅提高市盈率。低无风险利率和低DEP的结合,或者仅仅是一个非常低的DEP,可以把贴现率推低到接近甚至低于盈利增长率的水平。在后一种情况下,市盈率变得很荒唐,而在前一种情况下则是无限的;如果远期的收益比近期的收益更有价值,那么收益的现值就是无限的。

总而言之,市盈率在概念层面上并没有什么意义。概念上正确的市盈率取决于收益增长率、股息支付率、无风险利率和DEP的未来值。这些变量的变化会导致正确的市盈率大大偏离历史平均值。DEP的变化空间尤其大。因此,市盈率的相关性主要是一个经验问题。

\

衡量股票市场的表现

如果市盈率是一个好的估值指标,它应该与股市的未来表现呈现出强烈的反比关系。分析估值和股市表现之间的关系,不可避免地涉及几个判断。

Shiller(2015)表明,CAPE与股票的10年实际回报率成反比。他将过去10年的收益按实际价值进行平均,来计算CAPE。使用长期平均值的优点可能包括覆盖商业周期与中和收益的短期变动。然而,我也能想到一些缺点,经济基本面可能在10年期间发生变化,使10年的收益几乎不相关。此外,10年的平均数会受到10年期间的增长率的影响。快速(缓慢)的增长意味着相对于最新的收益来说,10年的平均数要低(高)。因此,目前还不清楚CAPE是否比使用最近四个季度的传统市盈率(PERC)有所改进。使用10年的实际回报率作为业绩衡量标准也引起了一些问题。实际回报率是消费储蓄决策中的关键变量,但相对于其他投资的回报率可能在投资决策中更有意义。另一个问题是,如果股票在10年期结束时恰好被错误定价,那么10年的回报率就没有实际意义了。时间框架的选择(10年相对于5年或15年)也是一个棘手的问题。

Park(2000)将市盈率回归到未来(1-10年)的盈利增长率和未来的无风险利率(三个月的国债利率),发现这两个变量可以解释市盈率变动的很大一部分。这种方法避免了使用未来的价格,因为它可能存在一些不确定性。一个缺点是,它忽略了股息支付率。高的股息支付率意味着公司的再投资较少,这导致了较低的盈利增长率和较慢的股票价格上涨。然而,投资者可以通过将红利再投资于股票来中和这种影响。因此,如果股息支付率偏离其历史平均水平,盈利增长率可能无法准确地描述股市表现。

在本文中,我使用REP作为主要的股价表现衡量指标。REP是股息再投资的年度股票收益的几何平均值减去三个月国债利率的几何平均值(代数表述见附录)。我还试验了假设的股权溢价(REP-HH),如果投资期限结束时的股票价格是使市盈率达到历史平均水平的价格(历史市盈率一致的价格),就会实现这一溢价。在计算REP时,我假设投资者以当时价格进行股息再投资,并在投资期结束时以市场价格出售股票。对于REP-HH的计算,我假设投资者以基于历史PER一致价格调整的价格进行红利再投资,并以历史PER一致价格出售。假设价格为100美元,投资期限结束时的市盈率为20,而市盈率的历史平均值为15。那么,历史上的市盈率一致的价格是100乘以15/20,也就是75美元。我还通过使用投资期间实际价格的平均值与初始价格和历史市盈率一致价格的平均值的比率来调整通过股息再投资获得的股票数量;如果最终价格不同,中间价格也会不同。

REP-HH的关键假设是,投资者对未来一定时期内相关经济变量的变化进行估计,并期望这些变量在可预见的时期结束时回到其历史平均水平。为简单起见,假设盈利增长是唯一的相关变量。第0年的投资者正确地估计了未来10年的快速盈利增长和此后的正常盈利增长。10年的快速盈利增长将使未来现金流的现值提高30%。那么,市盈率将比第0年的历史平均水平高出30%,并在第10年恢复到历史平均水平,而10年期间的REP-HH将是其历史平均水平,因为较高的价格充分反映了10年内较高的收益。在这种情况下,市盈率和REP-HH之间没有任何关联性。然而,如果对10年期间盈利增长的正确估计是历史平均水平,那么第0年的高市盈率将导致10年期间相应的低REP-HH。

REP作为衡量股票市场表现的一个指标有几个优点。它考虑到了利率(或贴现率)和股息支付率的影响。REP-HH解决了部分投资期限结束时的股票错误定价问题。此外,扣除无风险利率的回报比绝对回报对投资决策更有意义。

\

市盈率、股市表现和股市基本面

REP

如果市盈率是一个好的估值指标,它应该与REP成反比。由于CAPE已经引起了相当大的关注,我同时考察了CAPE和PERC。我使用了大量重叠的月度观测值(1669例)。因为计算10年的REP需要未来10年的数据,所以最后一个观察值是2010年1月。

图2是CAPE与10年REP和10年REP-HH-CAPE的对比图,10年REP-HH-CAPE是由历史CAPE一致的价格得出的。这两个市场表现的衡量标准(REP和REP-HH-CAPE)和CAPE往往向相反的方向发展,其中REP-HH-CAPE的反向关系似乎更强。图3将PERC与REP和从历史PERC一致价格得出的REP-HH-PERC相比较,显示了类似的结果:REP和REP-HH-PERC都与PERC呈反向关系,REP-HH-PERC的反向关系更强。由于PERC在少数情况下非常高(超过100),我在本文中使用的PERC被限制为45。

市盈率和股票市场表现之间的反比关系表明,市盈率可以成为衡量股票市场估值的一个有用指标。REP-HH指数更强的反向关系突出了均值回归的重要性。市盈率作为估值指标的价值主要来自于均值回归;通过使用投资期结束时的历史市盈率一致的价格,REP-HH迫使均值回归。这一发现也表明,相关的经济变量在10年期间的变化不足以证明市盈率偏离其历史平均水平,证实了市盈率作为估值指标的有用性。

{w:100} {w:100}

公允市盈率

投资者不可能是完全非理性的。为了衡量市盈率在多大程度上反映了投资者的理性预期,我构建了一个公允市盈率,并将其与实际市盈率进行比较。公允市盈率是指在第0年的市盈率,考虑到10年中的相关经济变量和10年结束时的价格,该市盈率会使10年期间的股票溢价达到历史平均水平(代数表述见附录)。同样,在计算公允市盈率时,我尝试使用已实现的价格和历史上与市盈率相一致的价格。

{w:100}图4比较了CAPE、基于已实现价格的公允CAPE(公允CAPE-R)和基于历史CAPE一致价格的公允CAPE(公允CAPE-HH)。CAPE和两个公允CAPE经常性地朝同一方向移动,但这种正向关系并不强。在图5中,将PERC、基于已实现价格的PERC(公允PERC-R)和基于历史PERC-一致价格的PERC(公允PERC-HH)绘制出来,PERC和公允PERC之间的正向关系看起来更强。在大多数时间里,PERC和公允PERC是一起变化的,只有两个明显的例外:1940年代的前半期和1990年代末。在第二次世界大战中期,投资者是悲观的,这并不奇怪。只有20世纪90年代末的科技泡沫似乎是一个真正的例外,违背了市场的基本面。

{w:100}我还将市盈率和公允市盈率进行回归。最直接的回归是那些基于已实现价格的市盈率和公允市盈率之间的关系(已实现价格模型)。作为对已实现价格模型的补充,我建立了基于历史市盈率一致价格的市盈率和公允市盈率之间的关系的模型(历史平均模型),以及基于趋势市盈率一致价格的市盈率和公允市盈率之间的关系的模型,即与市盈率的时间趋势一致的价格(时间趋势模型)。我建立时间趋势模型有两个原因:在过去四十年中,CAPE和PERC都表现出明显的时间趋势,公允CAPE-HH和公允PERC-HH的糟糕表现表明,由于市场基本面的变化,市盈率可能不再应该恢复到历史平均值。为了衡量时间趋势,我将市盈率与1980-2020年的时间趋势进行回归。根据时间趋势调整的公允市盈率(fair PER-HT)是1980-2010年回归的预测值,以及1871-1979年早期的平均值。用更精细的方法产生类似的结果。

如前所述,股票溢价的历史平均值高得令人费解,一些制度和技术的发展可能造成了DEP的下降趋势和市盈率的上升趋势。如果市盈率确实因为市场基本面的变化而呈上升趋势,那么使用历史平均值将导致系统性的偏差。另一方面,很难断言不断变化的市场基本面是造成估计时间趋势的全部原因。人们可以说,时间趋势可能只是反映了非理性繁荣所驱动的长期牛市的运行。虽然历史平均模型可能无法适应不断变化的市场基本面,但时间趋势模型可能有些过度调整。因此,明智的做法是主要关注已实现的价格模型,并从历史平均和时间趋势模型中得出额外的推论。

{w:100}图6显示了回归的结果。CAPE是模型1、2和3(CAPE模型)的因变量,PERC是模型4、5和6(PERC模型)的因变量。通过唯一的解释变量,模型1和4是实现价格模型,模型2和5是历史平均模型,模型3和6是时间趋势模型。公允市盈率的系数从模型2的0.3140到模型3的0.6034。根据已实现价格模型,公允市盈率增加1与实际市盈率增加约0.45有关。这些结果表明,市盈率对以公允市盈率衡量的股票市场基本面有相当的反应。

在CAPE模型和PERC模型的成对比较中(模型1与模型4,模型2与模型5,模型3与模型6),以经济和统计意义衡量,模型4和模型5的公允市盈率的解释能力高于模型1和2。以R衡量的回归拟合度,PERC模型明显优于CAPE模型。在CAPE模型中,时间趋势模型表现最好,而在PERC模型中,已实现价格模型和时间趋势模型表现相似(系数较大,但模型4的R较低)。历史平均模型在CAPE和PERC模型中的表现都是最差的。

总的来说,尽管PERC的波动性很大,但它对股市基本面的预测更可靠。考虑到投资者情绪的波动和股票市场的许多不确定因素,模型4和6中超过0.3的R值令人印象深刻。市盈率和股市基本面之间更强的关系与CAPE和REP之间更强的反比关系是一致的。如果市盈率完全反映股票市场的基本面,它将与REP无关。相反,一个完全衡量错误定价的市盈率将与股票市场基本面毫无关系。历史平均模型相对于其他模型的糟糕表现也是有参考价值的;它表明投资者除了能预见短期和中期的发展外,还能合理地感知股市的长期方向。

股票市场择时

股票有时可能会被错误定价。一个重要的问题是,投资者是否能从基于市盈率或商业周期的股票市场择时中获得巨大利润。为了研究这个问题,我研究了高市盈率案例和低市盈率案例的REP:前5%(T5),前10%(包括前5%)(T10),后5%(B5),后10%(包括后5%)(B10)。除此以外,我还分析了股票市场表现与经济衰退的关系。

基于市盈率的择时

图 7 显示了高 CAPE 和低 CAPE 案件的 10 年和 2 年的 REP。毫不奇怪,低CAPE案件的平均REP大大高于样本平均水平,而高CAPE案件则大大低于样本平均水平。

虽然高CAPE案例的10年REP很低,但对于前10%来说,它是显著的正数(2.27%)。前5%是负的(-0.11%),但幅度很小。中位数是正的,最大值是可观的。在T5情况下,一个卖掉股票并把钱使用在无风险资产上的投资者,在10年结束时,平均会领先约1.1个百分点(10×0.11),这是一个税前回报。对于那些有可观资本收益的投资者来说,提前支付资本收益税可能会使市场时机的税后收益变成负数。此外,尽管把钱停放在无风险资产中使10年的回报率波动较小,但它会使长期的回报率波动更大。图2显示了CAPE和REP的均值回归。REP的均值回归会使坐等十年的投资者的20年回报更加不稳定;他们不会有二十年的时间来相互抵消。还有其他类型的风险,落后或错过是一种严重的风险。在T5案例中,最大的年度REP为7.06%,这将使10年的累计REP几乎为100%——投资者可能会错过时机。当投资者关心相对收入以及绝对收入时,一个偏离的投资组合选择是非常不可取的(Park 2009)。因此,即使在T5情况下,投资者选择无风险资产而不是股票,从长远来看,也没有很好的机会获得更好的收益。另一方面,在B10和B5中更多地投资于股票似乎是有回报的;10年的平均和中位数的REP比整个样本的REP高得多,而且用最低的REP衡量的风险是适中的。

在T10情况下,两年的平均REP是适度正值,在T5情况下是适度负值。T5情况下的中位数也是负的,而T5和T10情况下的最小值都是大大的负数。短期市场时机的回报要比长期市场时机的回报大。在T5情况下,投资者将资金停放在无风险资产中两年,在两年期结束时平均会领先3.2个百分点。虽然这可能被认为是一个有意义的收益,但在许多情况下,提前支付资本利得税会使其消失。此外,对于风险承受能力低的长期投资者来说,短期的市场时机选择可能不是一个好的策略,因为它可能使长期回报更加不稳定。此外,对于许多专业的基金经理来说,对表现不佳的市场的惩罚可能是很严厉的。

{w:100}图8是与图7相对应的PERC。在任何情况下,10年和2年的平均REP都不是负数。因此,对于卖出时机,PERC似乎不如CAPE有用。对于买入时机,CAPE和PERC似乎都很有用。PERC甚至显示出一个优势:对长期投资者来说,下行风险更加有限。在B10和B5的情况下,最低10年的REP都是很好的正数。

{w:100}

基于商业周期的择时

在样本期间,美国经济有29次衰退,持续了6到65个月。图9显示了经济衰退开始前不久(一个月和三个月)和经济衰退结束前不久(一个月和三个月)的投资REP。10年的REP在经济衰退前投资的样本平均值相对低,经济复苏前投资的样本平均值相对高。鉴于典型的经济衰退是短暂的,REP的适度差异创造了大量盈利的机会。为简单起见,假设经济衰退持续了一年,投资者在经济衰退前三个月卖出股票,把钱留在无风险资产中,并在经济复苏前三个月买回股票。无风险收益率为3%。根据复苏前三个月的投资的平均10年REP,投资者在第一年将只赚取无风险回报(3%),从第二年到第十一年将赚取10.88%(3%加7.88%的REP)。那么在第十一年年底,1美元将增长到2.89美元。持有股票的投资者在第1年至第10年将获得8.85%的回报(3%加5.85%的REP),在第11年获得样本平均回报(9.08%)。然后1美元将增长到2.59美元。市场时机的选择将在11年期间产生30个百分点的额外回报。在两年的股票溢价基础上重复同样的练习,三年期的额外回报将是20个百分点。在大多数情况下,这应该是足够大的,足以承受税收打击。对于拥有30%资本收益的人来说,按照15%的税率,税收是销售收入的4.5%。

{w:100}研究利润潜力的一个更直接的方法是看衰退前后的价格变化。图10显示了与经济衰退前段相重叠的各个时期的股票价格的巨大跌幅。在这期间,平均跌幅很大。一个投资者如果在经济衰退前三个月卖出股票,在经济复苏前三个月回购,平均可以避免15.80%的损失。这种市场时机的选择甚至不比在整个经济衰退期间持有股票更有风险,后者若以最低收益衡量,则会涉及巨大的下行风险。

{w:100}这些潜在的利润大得令人费解。一个关键的问题是投资者是否能预见经济衰退。Fornari和Lemke(2010)表明,使用衰退前一个季度的经济数据的模型可以相当准确地预测衰退。他们最好的模型结果是在单季度的预测范围内正确识别了95%的季度为衰退或非衰退季度。即使有这样的准确度,市场择时也是有风险的。鉴于非衰退季度的数量远远超过衰退季度,“假阳性”(将非衰退季度归为衰退季度)与“真阳性”(将衰退季度归为衰退季度)之比可能相当高。在假阳性的基础上卖出涉及到大幅落后的风险。此外,计量经济学模型可能无法预测由非经济因素引起的衰退,如2020年的大流行病。

虽然投资者对经济衰退反应过度似乎是不争的事实,但对于这种过度反应是否会创造出轻松的获利机会,却很难有定论。预测经济衰退是一个挑战。个人投资者需要考虑税收后果。即使预测经济衰退的能力有限,对于那些因跑赢市场而获得高额回报的对冲基金经理来说,这也应该是一个好的投资策略。然而,对于保守型基金的经理来说,他们因表现不佳而面临巨大的惩罚,风险回报情况就不那么有利了。巨大的潜在利润并不一定意味着风险收益状况对所有人都有利。

\

2020年的疫情

2020年的疫情引起了严重的、特异性的经济衰退。在写这篇文章的时候(2020年8月中旬),经济仍然处于涉及非凡不确定性的危机之中。由于该事件是如此戏剧性和独特,股票市场的反应在某些方面是不寻常的。为了使我的分析更加生动,我想讨论一下股票市场的发展与前面的分析在多大程度上是一致的,并找出可能造成不一致的因素。

在2020年2月之前,COVID-19还没有严重威胁到美国经济。2月份的非农就业人数稳固地增加了25万。突然间,3月和4月的就业人数分别暴跌137万和2079万。标准普尔500指数在2月19日达到3386点的峰值,在3月23日跳水至2237点(约一个月内下跌34%),然后迅速恢复,在8月创下新的记录(8月18日为3390点),并使估计的PERC接近30。在此期间,经济恢复了不到一半的就业损失(2220万中的930万)。

如果预期企业盈利很快反弹是合理的,那么由盈利减少和价格反弹导致的高PERC与之前讨论的估值分析是一致的。虽然暂时的盈利冲击会使PERC的分母大幅下降,但对分子的影响应该不大。此外,预计将持续数年的近零利率可以为PERC的大幅增加提供理由。显著的实际负利率也可以通过迫使投资者承担更多的风险来降低DEP;即使是强烈规避风险的投资者也可能认为负的实际收益是不可接受的而选择高风险的投资方案。

价格大幅下跌后出现强劲反弹,也符合投资者对经济衰退的过度反应。显然,价格的疯狂波动产生了一个巨大的获利机会。然而,根据随之而至的官方经济衰退,市场时机可能有些偏差。价格下跌异常突然,而反弹也异常迅速。因此,在这次衰退前三个月卖出可能太早,而在复苏前一个月买入可能太晚。衰退的意外性和非同寻常的深度可以很容易地解释价格的突然下跌。快速反弹可以归因于异常迅速和积极的货币和财政政策反应。对疫苗发展的乐观态度可能是快速反弹的另一个原因。

这个事件中仍然存在大量的不确定因素。COVID-19的重新出现以及未能开发出安全有效的疫苗可能会导致二次衰退。通过非同寻常的货币和财政政策注入经济的巨大流动性可能会助长资产泡沫。2020年大选中的民主党人可能会逆转企业所得税的削减。政府债务急剧增加是经济不稳定的根源。鉴于高科技部门的重要性增加,技术进步的速度是一个很大的未知数。这些因素可能会在相当长的一段时间内造成股市的剧烈波动。当尘埃落定时,经济学家会有更多的解释。

\

股市基本面与投资者情绪

在前面的分析中,股票市场的基本面一部分解释了市盈率。因此,市盈率似乎反映了由投资者情绪引起的大量错误定价。有几个发现与错误定价是一致的。REP与市盈率成反比;图6所示的公允市盈率的系数在大多数模型中都小于0.5,而不是1;股市对商业周期反应过度,创造了大量的盈利机会。令人费解的是,系统性错误定价的持续存在。

虽然前两个发现与系统性错误定价相一致,但并不构成强有力的证据。在漫长的样本期间,只有少数情况下市盈率真正偏离了公允市盈率。一个可能的解释是,投资者理性地估计了一个极端结果的小概率,但恰好没有实现。一个10%概率的现象或令人沮丧的结果可以极大地改变预期回报,并证明市盈率与历史平均水平的巨大偏差是合理的。一个10%概率的结果连续五次没有实现,这并不罕见。这样的结果没有实现的事实并不一定意味着投资者是不理性的,也不意味着股市是无效率的。

如前所述,市盈率在1940年代上半期和1990年代下半期最明显地偏离了公允市盈率。第二次世界大战期间,市盈率低是很自然的;如果美国战败,股票可能变得一文不值。在90年代后半期,人们对技术突破的期望值很高。预期在某次没有实现,并不一定意味着预期太高。宽松的货币政策也可以帮助证明90年代末高市盈率的合理性。自2010年代中期以来,市盈率一直很高。投资者可能又在期待技术上的突破,或者,更现实的是,他们可能在期待无风险利率长期保持在低位。从大衰退以来的货币政策推断,美联储似乎已经半永久性地降低了利率。鉴于人工智能的出现和持续的宽松货币,期待技术突破或长期的低利率制度可能并不是不理性的。

股市对经济衰退的反应更难论证。在经济衰退期间,企业盈利会降低,但盈利的打击应该是暂时的。无风险利率在衰退期通常较低,部分抵消了缓慢的盈利增长。衰退增加了不确定性,这反过来可能会增加DEP;然而,DEP的增加也应该是暂时的。考虑到29次衰退的大样本,一个小概率的惨淡结果很难解释两年内巨幅下跌后强劲反弹的模式。另一种可能性是,迫在眉睫的经济衰退促使人们对之前繁荣时期的过度定价进行修正——经济衰退前的高市盈率会支持这种可能性。然而,平均CAPE和平均PERC都略低于衰退前三个月(分别为16.43和14.23)和衰退前一个月(分别为16.15和14.67)的历史平均水平,否定了这种可能性。衰退后股市的强劲反弹也与这种可能性不一致。似乎是投资者对衰退的过度反应创造了盈利机会。

尽管市场基本面应该是决定股票价格的主要因素,但一些系统性的错误定价似乎是不可否认的。我可以在合理的范围内将市盈率的适度预测能力与市场效率相协调。然而,很难解释股票市场对衰退的频繁过度反应。投资者的情绪可能在短期和中期内非常重要。

\

总结

从概念上讲,高市盈率并不一定意味着股票被高估。各种因素都可以证明高市盈率的合理性,包括较快的盈利增长、较低的无风险利率、较低的股票溢价和较高的股息支付率。特别是,鉴于股票溢价的历史平均值非常高,较低的股票溢价甚至可以证明一个急剧上升的市盈率是合理的。因此,市盈率作为一种估值指标的有用性是一个经验问题。

从历史上看,市盈率与以REP衡量的未来股市表现成反比。同时,市盈率在合理的范围内反映了股票市场的基本面。这些发现表明,市盈率可能同时反映了被误导的市场情绪和投资者的理性预期。CAPE似乎更能反映错误定价,而传统的市盈率更能反映市场的基本面。因此,作为一种估值指标,CAPE似乎更有用。

错误定价应该是显著性的和系统性的,以使投资者能够从中获利。特别是在市盈率和未来股市表现之间的反比关系相当强烈的情况下。尽管如此,似乎很难从基于市盈率的市场择时中获利,尤其是对长期投资者而言。股票溢价的历史平均水平很高,即使是很高的市盈率也很少使其成为负值。短期市场择时似乎还有一些空间,但预期利润很小,错过的风险也很高。市盈率所显示的错误定价似乎并不明显,也没有系统性地产生明显的择时机会。根据商业周期来择时似乎要有利可图得多。通常情况下,股票价格在经济衰退前不久或期间暴跌,并在接下来的两年左右迅速反弹,从而创造了择时的机会,潜在的利润是巨大的,尽管实现利润可能涉及一些与衰退预测和税收管理有关的复杂问题。在市场效率的范围内解释股市对衰退的过度反应似乎是一个重大挑战。

标签

市盈率股票市场投资组合管理股票价格投资策略
{link}