研报&论文

基金经理公开信息依赖度与投资能力

由crisvalentine创建,最终由crisvalentine 被浏览 8 用户

报告摘要

基金经理对于公开信息的依赖程度与投资能力的关系

Sandroni 等(2000) 将富有经验的投资者定义为可以持续较优的预测资产价格的人。本文对于优秀投资者的定义延展到其对非公开信息的把握,以及在投资过程中的体现。判断其投资能力的一个重要环节就是识别其对公开信息的依赖程度。

本文相比于传统的度量基金经理投资能力方法,提供一个基于基金经理对公开信息依赖程度的独特视角去判断基金经理的投资能力。

RPI指标构建与实证检验

本文使用分析师对于股票的推荐数据作为公开信息数据构建RPI指标。使用两类测试方法,即无条件以及使用CAPM模型,Fama-French三因子以及Carhart四因子进行风险/风格调整后的有条件的异常收益。以及Daniel et al。(1997)提出的基于持仓配置的测试方法(GT,CS,CT以及AS)。

结果显示基于因子的测试方法中,RPI指标剥离了常见风险因子后依然与基金未来业绩呈现显著负相关关系。同时,基于持仓配置的测试方法中,一个RPI得分较低的基金经理的超额收益与股票的选择以及风格的选择相关,而与市场择时能力无关。

RPI指标稳健性检验

通过稳健性检验,可知RPI与基金经理相关,当出现基金经理变更时,RPI的值也会发生变化;RPI指标在包含其他风险资产后效果依然显著,这表明本文的结论具有可推广性;RPI指标与基金换手率没有强的关联性,即便剥离基金换手率,RPI指标依然显示出对基金未来业绩显著的预测性;RPI得分越高的基金经理承担的风险越高,RPI得分与基金风险之间呈现正向相关关系;RPI得分越低的基金经理持仓变动与公开信息越不敏感,这与前文结论一致,但RPI得分越高的基金经理其持仓变动与公开信息的变化方向呈现显著的反向关系。

文献来源

**文献来源:**Kacperczyk, Marcin, and Amit Seru. "Fund manager use of public information: New evidence on managerial skills." The Journal of Finance 62.2 (2007): 485-528.

**文献亮点:**基金经理对于公开信息的依赖程度与基金经理的投资管理能力之间关系的探讨是本文的一大亮点,本文基于Grossman和Stiglitz(1980)提出的理性预期均衡模型来阐述基金经理投资能力与资产投资中非公开信息之间的关系。进而得出关于公开信息依赖度(RPI)的度量。RPI指标度量的是基金经理对于公开信息的一种敏感性。如果基金经理在传统考量方法下的投资能力比较高的话,应该对公开信息的变化具有较低的敏感度。

引言

在学术研究中,随处可见对成熟投资者的定义,如市场微观结构、有效市场假说检验以及金融机构业绩评估等等。Sandroni 等(2000) 将富有经验的投资者定义为可以持续较优的预测资产价格的人。这些投资者是否存在或者这些投资者是否可以战胜其他人的问题在近几十年的学术讨论中争论不止,尤其是在对基金的研究文献的讨论中。特别是尽管已经公开发表了一众业绩评估、度量的方法,这些方法是否真的可以捕捉到基金经理的管理能力,而是否是运气、模型误差、幸存者偏差或者弱统计特征等等其他因素而误判了基金经理的投资业绩。最终也没有一个清晰的答案。本文对于优秀投资者的定义延展到其对非公开信息的把握,以及在投资过程中的体现。判断其投资能力的一个重要环节就是识别其对公开信息的依赖程度。在接下来的探讨中,本文相比于传统的度量基金经理投资能力方法,提供一个基于基金经理对公开信息依赖程度的独特视角去判断基金经理的投资能力。

本文基于Grossman和Stiglitz(1980)提出的理性预期均衡模型来阐述基金经理投资能力与资产投资中非公开信息之间的关系。进而得出关于公开信息依赖度(RPI)的度量。RPI指标度量的是基金经理对于公开信息的一种敏感性。如果基金经理在传统考量方法下的投资能力比较高的话,应该对公开信息的变化具有较低的敏感度。

本文构建两种模型来证实本文的核心假设:RPI包含了关于基金经理投资管理能力的相关信息。

首先,如果RPI与基金经理的投资管理能力相关,那么RPI得分较低的基金经理管理的基金业绩应该显著高于RPI得分较高的基金经理。经验上的结论是,在本文的假设下,传统意义上的基金业绩度量方法得出的结果与RPI值成负相关关系。

第二,如果RPI与基金经理的投资管理能力相关,那么即便没有准确的反应到传统的业绩度量结果上,我们也可以从外部投资者的申购赎回情况得到相应的结果,即理性的外部投资者应追逐低RPI得分的基金,即使在控制了过去一段时间基金表现之后也应如此。

\

数据与变量

数据来源

本文需要的其中一个构建RPI值的输入内容便是公共信息。本文基于已有的学术研究结果,同时使用分析师过去一段时间的推荐信息作为公共信息的捕捉。本文所选择的分析师数据主要受Elton,Gruber以及Grossman(1986,p.699)的影响,初次之外,Womack(1996),Kim,Lin,以及Slovin(1997)和Jegadeesh et al.(2004)提出卖方分析师提供的相关信息可以为资产基本面提供一定的预测作用。在本文的实证研究中,通过计算将特定基金持仓信息的变动回归到分析师信息变动的R方,来表征该基金的RPI。

本文使用了1993年至2002年近1700只主动权益基金的数据。具体而言,本文共使用了四个数据库,即CRSP无幸存者偏差的主动权益基金数据库、CDA/Spectrum holdings数据库、IBES股票分析师数据以及CRSP的股票价格数据。

CRSP公募基金数据库提供了关于基金收益率、基金规模、基金不同类型的费用数据、投资目标以及其他基金基本信息数据。而CRSP数据库的一个主要限制是它并不能提供关于基金持仓信息的细节数据。为此本文参考了Wermers(2000)以及Kacperczyk,Sialm以及Zheng(2005)的方法,并使用CDA数据库中关于基金的股票持仓的数据。CDA数据库几乎涵盖了所有美国公募基金的持仓数据。本文将所有基金的股票持仓数据与CRSP数据库中的股票价格数据相关联。绝大部分基金持仓来自NYSE,NASDAQ以及AMEX交易所上市的股票。

接下来,本文将各个基金的具体持仓与IBES数据库中相应的分析师数据进行关联。该数据库提供的卖方分析师数据评级从1分(强烈建议买入)到5分(强烈建议卖出)。需要注意的是,此卖方分析师数据是反向排序的,即分值越低的股票越好,也就是说,如果一只股票的评级得分升高了,代表股票在这个维度上有了一个负向的变化。

在本文的样本中包含了8993名卖方分析师,涵盖了7766家公司。平均而言,在IBES数据库中的一家分析师一年可以跟踪9.7家公司,跟踪家数的标准差为7.2家公司。

最终,本文对数据进行了一些清洗。因为RPI的计算需要股票持仓数据,因此我们提出了平衡性、债券型以及国际类型基金。此外,本文提出了指数基金,这是因为本文的方法在对信息敏感的基金管理者更加有效。本文还提出了主题基金,只专注于持仓较为分散的基金。本文的样本空间为1993年1月至2002年12月。本文最终所使用的样本包含了1696只主动管理且分散持仓的股票型基金。

RPI指标的构建

本文所构建的RPI指标主要基于基金经理持仓对公共信息的敏感程度。如前文介绍,为度量公共信息,本文使用分析师对于股票的推荐数据。本文假设所有分析师的推荐数据都是公开可获得的,且在信息集中,所有基金经理进行投资决策。

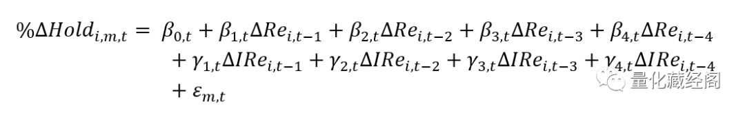
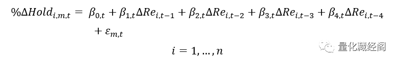
在构建RPI指标时,本文采用两步法。第一步,确定在基金的季度持仓中平均有多少变化是由分析师推荐信息所引起的。

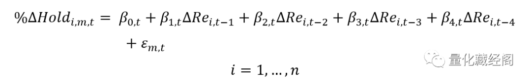
特别地,对于每一只基金m以及从1993到2002年的时间点t,本文使用基金持仓中的股票i=1到n,构建如下回归方程:

{w:100}其中,%∆Hold_(i,m,t)表示从时点t-1到t基金m在股票i持仓上面变化的比例,∆Re_(i,t-p)衡量的是从时点t-p-1到t-p,其中p=1,2,3,4(代表分析师推荐信息报告期的滞后期数)分析师推荐信息的变化。当∆Re=0时,意味着连续两个报告期分析师推荐都没有发生变化。

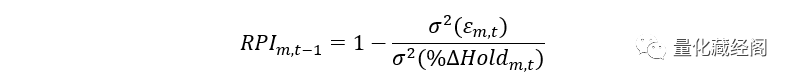
在第二步中,本文构建了公开信息依赖度指标,对于基金m以及时间点t,指标RPI_(m,t-1)由如下公式构建:

{w:100}其中,σ^2 (ε_(m,t))为上述回归方程中残差部分(即无法由已知变量解释的部分)的方差,同时,σ^2 (%∆Hold_(m,t))为基金整体层面所有持仓中股票(i=1,…,n)从时点t-1到时点t的持仓变化的方差。

从简单的形式上,RPI就等于上述回归方程的未经调整的R^2。

RPI指标的剖析

本节主要检验了RPI与基金基本特征,如基金规模、费用、换手率、年限以及基金佣金,的关系。本文将基金依据RPI得分分成十档,考察每一档中基金在各个方面的平均值。具体如图1:

{w:100}图1展示了基金十档分组的统计情况,可以看出,RPI与基金规模(TNA)呈现一个单调的线性关系。平均来看,规模越小的基金对公开信息的依赖程度越高,规模越大的基金对公开信息的依赖程度越低。

与此同时,费用(Expenses)衡量的是基金的运营费用,这里无关交易费用,如果基金的RPI得分较低则相应基金的换手率较低,那么交易费用则倾向于也较低。

最后可以发现,基金的续存年限以及佣金水平都与RPI指标呈现出负向的相关关系。图1最后一行表示所有指标与RPI指标的标准相关系数值,可以看出所有指标与RPI指标的相关系数都是显著的。

\

主要实证结果

本节主要分为两个部分。第一,RPI指标与因子表现;第二,RPI指标与基金申赎情况。

RPI指标与因子表现

如前文所述,本文首先要考量的是RPI指标与基金未来业绩表现的预测性:即RPI得分比较低的基金经理所管理的基金未来超额收益较高。

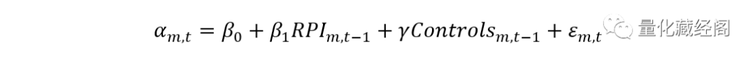
为验证这个预测关系,本文建立如下回归方程:

{w:100}其中,α_(m,t)表示基金m在时点t的业绩表现。本文使用两类测试方法,即无条件以及使用CAPM模型,Fama-French三因子以及Carhart四因子进行风险/风格调整后的有条件的异常收益。以及Daniel et al.(1997)提出的基于持仓配置的测试方法(GT,CS,CT以及AS)。

为获得各个基金的超额收益,本文对过去36个月市场收益率,市值,价值以及动量使用时间序列回归的方法。超额收益就是回归方程的截距项以及残差项的和。

本文的第一个假设是预期RPI指标与基金未来收益率呈现一个反向关系,即在回归方程中的β_1是显著且负向的。上述使用基金业绩对不同因子的回归方程结果如图2以及图3,其中基于因子的测试结果如图2所示,基于持仓的测试结果如图3所示:

{w:100}接续上表。

{w:100}从图2的第二列到第四列是无条件的基金业绩测试结果,其中显示RPI是与这三种测试方法全部呈现出负向相关关系。结果上看,也是在剔除基金经理通常会使用的市值,价值或者动量策略之后依然具有统计意义上的显著性以及稳健性。

例如,平均而言,每一年RPI每增加一个单位的标准差,经Carhart(1997)风险调整后的收益就降低0.46%(23*0.0017)。当使用有条件的测试方法时,是可以得出类似的结论的。

从图3可以看出,本文的测试结果在使用基于持仓的测试方法,如GT,CS以及AS时依然维持显著。例如,平均而言,每一年当RPI增加一个单位的标准差时,CS下降0.44%。

与之相反的,本文的分析结果显示,RPI值与CT之间没有相关关系。这也标志着一个RPI得分较低的基金经理的超额收益与股票的选择以及风格的选择相关,而与市场择时能力无关。

RPI指标与基金申赎情况

已有的文献研究表明,外部投资者选择基金时更加追逐过去业绩表现好基金(如Chevalier以及Ellision(1997))。本文的第二个假设是关于RPI指标与这些投资者对基金的申购赎回情况的。

如前文所述,RPI指标在某种程度上衡量的是基金经理的投资管理能力,而这种能力可能传统的业绩度量方法是无法捕捉到的,因此可以预期的是RPI指标与基金的申赎应呈一个负向相关关系。

为验证这个预测关系,本文建立如下回归方程:

{w:100}其中,NetFlow_(m,t)表示一个季度t基金规模的增长率。这里假设基金会对股息以及分红进行再投资,且复利计算基金收益,则NetFlow_(m,t)可以表示为如下计算方法:

{w:100}在上述回归方程中,β_1是需要关注的重点,在本文的假设中,期望该值是显著为负的。基于已有研究,本文控制一些基金特殊变量,如对数基金规模,对数基金年限,基金费用,佣金以及换手率。同时,本文通过计算基金过去36个月的收益标准差来度量基金整体风险。最终,本文加入了时间固定效应。所有回归方程的标准误均是由PCSE方法得出。

{w:100}在图4中,展示了回归方程的各项系数值。特别地,在第二、三列中本文复现了已有研究的结果:(1)外部投资者对于基金的申赎行为追随基金过去的业绩表现,(2)其中(1)中所述的效应主要有过去一段时间的原始基金收益所导致的。

在第四列中列示的结果则证实了本文的第二个假设,β_1是显著为负的:一单位RPI值标准差的增加带来基金申购量平均每年3.71%(4*3,。71%*0.25)的增加。这意味着,RPI衡量的是过去一段时间基金业绩所不能揭示的基金经理的投资管理能力。

\

稳健性检验

本节主要分为七个部分。第一,给出一个RPI值的另一种度量方法;第二,检验RPI的波动与基金经理变更的关系;第三,揭示基金持仓中股票包含的信息的重要性;第四,考察不同基金换手率下与RPI因子表现的关系;第五,RPI值与基金组合风险之间的关系;第六,检验交易行为是否与RPI有系统性关联;第七,总结附加的一些综合测试。

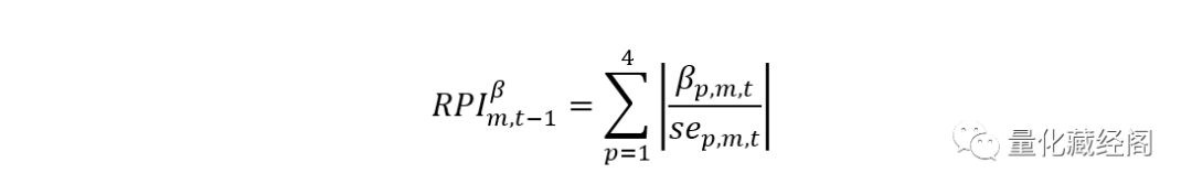
RPI的另一种构造方式

首先,本文依然使用前文所述的回归方程:

{w:100}然后,通过下面的公式来计算基金m在时点t的RPI_(m,t-1)^β的值:

{w:100}其中,β_(p,m,t)以及se_(p,m,t)分别表示回归方程的系数以及标准误。为检验与前文所构建的RPI指标是否有相同的预测效果,图5以及图6展示了本文提出第一个假设的测试结果:

{w:100}接续上表。

{w:100}与前文所得到的结论是一致的,RPI^β的系数都是非常显著的。举例来说,平均而言,每年RPI^β每增加一个单位的标准差,基金经Carhart风险调整的收益则会减少约0.45%(20*0.0019)。

同样的,使用GT,CS,以及AS基于持仓的测试结果显示依然显著。图6显示〖RPI〗^β得分较低的基金经理的超额收益,是与股票的选择以及风格的选择相关联,而与对于市场的择时能力相关性较低。

RPI与基金经理变更的关系

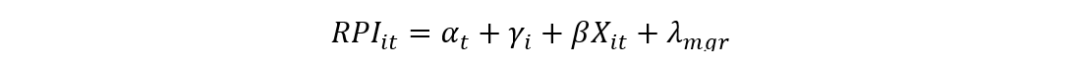
本文的样本中平均基金经理任期为3.36年,本文使用如下公式对RPI值与基金经理变更的关系进行检验:

{w:100}其中,α_t为年固定效应,γ_i为基金固定效应,X_it表示如基金规模对数,基金费用,基金年限,基金换手率以及基金申赎额等因素,λ_mgr表示基金经理固定效应。结果如图7:

{w:100}结果显示,RPI值的变化是与基金经理的变化关联的。

RPI与溢出效应

本文的的测试结果显示明智的投资者其持仓与公开信息的变动并不敏感。为检验本文的模型是否具有相对于其他风险资产同样适用的溢出效应,本文使用如下回归方程对RPI进行重构:

{w:100}其中,∆IRe_(i,t-p)为分析师对于three-digit SIC行业的推荐信息的变化。测试结果如图8:

{w:100}从结果可以看出,经过重构后的RPI在各项指标中仍为显著水平,因此可以证实本文的结论具有可推广性。

RPI与基金换手率

如果RPI的值与基金换手率呈现较强的相关关系,那么RPI很有可能与基金的超额收益存在系统性关联。本文发现RPI与基金换手率没有强的关联性。特别的本文设计两步法进行检验,第一步将RPI对包括基金换手率等基金特性因子进行中性化回归,得到的残差部分则是剥离了相关因子之后的RPI值,再使用这个值来测试与基金未来业绩表现的关系。结果如图9:

{w:100}从结果可以看出中性化后的RPI依然显示出显著的预测性,这意味着RPI具有常见因子之外的特性。

RPI与风险偏好

本节探讨RPI的值与与基金经理的组合中所承担的系统性与非系统性风险之间的关系。为检验上述关系,构建回归方程如下:

{w:100}上式中,TotRisk代表基金总体风险,使用基金过去36个月收益率的标准差来度量。同样的对于特异性风险使用下式进行检验:

{w:100}其中,特异性风险UnsysRisk为基金收益对Carhart(1997)四因子回归的残差来进行计算。测试结果如图10:

{w:100}从结果上来看,RPI得分越高的基金经理承担的风险越高,RPI得分与基金风险之间呈现正向相关关系。

RPI与交易行为

在前文的探讨中,RPI并不区分基金经理的交易方向是否与公开信息的变动方向一致,或者说基金经理的观点是否与公开信息的观点一致。

本节对此进行测试,测试方法是通过对RPI进行适当分组,查看每一组基金经理的持仓变动情况与公开信息的变动方向的一致性。测试结果如图11:

结果显示RPI得分越低的基金经理持仓变动与公开信息越不敏感,这与前文结论一致,但RPI得分越高的基金经理其持仓变动与公开信息的变化方向呈现显著的反向关系。

{w:100}

其他检验

为检验本文结论的稳健性,本节进行了额外的测试。第一,测试了RPI与分析师关注度的敏感性,结果显示RPI值与某只股票被分析师关注多少并没有统计上的偏差。第二,本文还测试了RPI与分析师关注度变化的敏感性,结果显示RPI对分析师关注度的变化并不敏感。第三,本文检验了基金规模与RPI之间的关系,结果发现不同的基金规模并不能改变RPI与基金未来业绩的关系。第四,本文检验了RPI与不同类型的基金投资者之间的关系,结果显示RPI值与该基金被什么样类型的投资者所关注没有相关关系。第五,本文检验了基金持仓中分析师推荐信息分歧度,发现即便剥离了该指标依然不改变本文关于RPI与基金未来业绩负向相关性的结论。

结论

专业机构的投资者通常被认为是一类拥有更充分信息的群体。本文探讨了基金经理管理能力与相关非公开信息准确度的联系。在此基础上,本文构建了一个基于公开信息依赖度(RPI)来度量基金经理管理能力的模型。主要结论为,管理能力强的基金经理,其持仓不受公开信息变动的影响。结论表明,基金的RPI为我们提供了一个相对传统业绩考量方法更强的独特视角:管理能力强的基金经理,即传统意义上业绩更强的基金经理,应该同样具有较低的RPI得分。

本文的研究也有一定的局限性。首先,尽管本文的算法可以探知基金经理所掌握的信息与基金未来收益率的关系,但是具体哪些信息无法得知。其次,本文的算法是数据密集型的算法,即除了基金的盈亏收益数据之外,还需要基金的持仓记录数据等。最后,由于数据的粒度较大,我们只能在比较离散的时间点计算RPI值。

{link}